逻辑回归基本概念
什么是逻辑回归? 逻辑回归就是这样的一个过程:面对一个回归或者分类问题,建立代价函数,然后通过优化方法迭代求解出最优的模型参数,然后测试验证我们这个求解的模型的好坏。
Logistic回归虽然名字里带“回归”,但是它实际上是一种分类方法,主要用于两分类问题(即输出只有两种,分别代表两个类别)
回归模型中,y是一个定性变量,比如y=0或1,logistic方法主要应用于研究某些事件发生的概率
概念解释摘自:https://blog.csdn.net/chibangyuxun/article/details/53148005
Logistic Regression推导过程
它的表达式是:
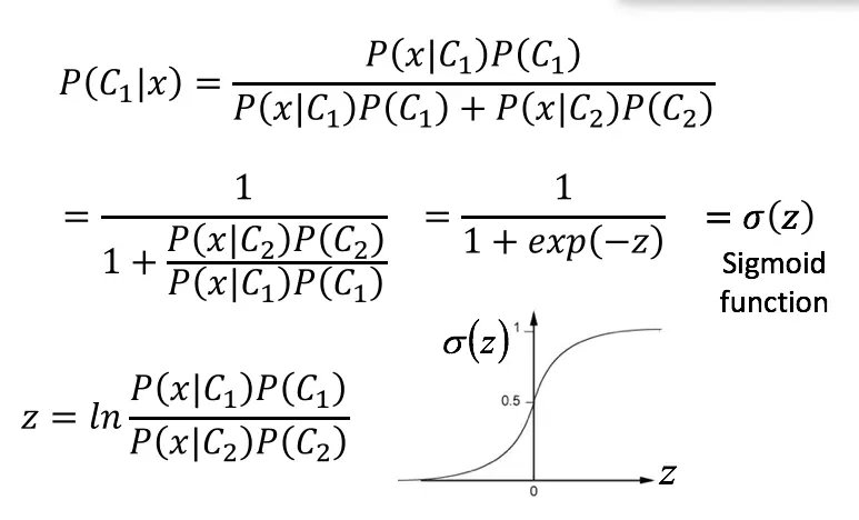
\[f(x) = \frac{1}{1 + e^{-\theta}}\] \[\theta = WX + B\]可以发现,经过sigmoid函数转换后, 输出值是在[0, 1]之间,可以认为输出是概率,下面就来详细的推导:

推导
为了计算方便, 我们只讨论二分类.
首先, 逻辑回归进行了一个假设,两个类别都服从均值不同,方差相同(方便推导)的高斯分布
高斯分布是比较容易处理的分布,根据中心极限定理也知道,最终会收敛于高斯分布。 从信息论的角度上看,当均值和方差已知时(尽管你并不知道确切的均值和方差,但是根据概率论,当样本量足够大时,样本均值和方差以概率1趋向于均值和方差),高斯分布是熵最大的分布,为什么要熵最大?因为最大熵的分布可以平摊你的风险(同一个值会有两个点可以取到, 不确定性很大),这就好比不要把鸡蛋放到同一个篮子里,想想二分查找中,为什么每次都是选取中间点作为查找点?就是为了平摊风险(假设方差相等只是为了计算方便)。
风险
其中,$Risk(y=0|x)$是把样本预测为0时的风险,$Risk(y=1|x)$是把样本预测为1时的风险,
$λ_{ij}$是样本实际标签为j时,却把它预测为i是所带来的风险。
我们认为预测正确并不会带来风险,因此$λ_{00}$和$λ_{11}$都为0,此外,我们认为当标签为0而预测为1 和 当标签为1而预测为0,这两者所带来的风险是相等的,因此$λ_{10}$和$λ_{01}$相等,方便起见,我们记为λ。但在一些领域里,比如医学、风控等,这些λ在大多数情况下是不相等的,有时候我们会选择“宁可错杀一一千也不能放过一个”;
那么我们简化后的表达式:
\[Risk(y=0|x) = \lambda P(y = 1|x)\] \[Risk(y=1|x) = \lambda P(y=0|x)\]根据最小化风险的原则,我们通常会选择风险较小的。
比如:
\[Risk(y=0|x) < Risk(y=1|x)\]这就说明了预测为第0类的风险小于预测为第1类的风险。
可以得到:
\[\frac{Risk(y=0|x)}{Risk(y=1|x)} < 1\] \[\frac{P(y = 1|x)}{P(y=0|x)} < 1\]就是说明预测第1类的概率小于第0类的概率。
我们对不等式两边分别取对数
\[log\frac < 0\]根据贝叶斯公式:
\[log\frac{P(x|y = 1)p(y=1)}{P(x|y=0)p(y=0)} < 0\] \[log\frac{P(x|y = 1)}{P(x|y=0)} + log\frac{p(y=1)}{p(y=0)} < 0\]我们开始假设过,两个类别分别服从均值不等,方差相等的高斯分布,根据高斯分布的公式有:
高斯分布
忽略常数项(方差也是相等的)
\[log\frac{P(x|y = 1)}{P(x|y=0)} + loge^{(\frac{(x - \mu_0)^2}{2\sigma^2} - \frac{(x - \mu_1)^2}{2\sigma^2})}\] \[log\frac{P(x|y = 1)}{P(x|y=0)} + (\frac{(x - \mu_0)^2}{2\sigma^2} - \frac{(x - \mu_1)^2}{2\sigma^2}) < 0\] \[log\frac{P(x|y = 1)}{P(x|y=0)} < \frac{(x - \mu_1)^2}{2\sigma^2} - \frac{(x - \mu_0)^2}{2\sigma^2}\] \[log\frac{P(x|y = 1)}{P(x|y=0)} < \frac{\mu_0}{\sigma^2}x - \frac{\mu_1}{\sigma^2}x + C\]C是常熟,可以使用矩阵的表示。
详细推导
对值取幂,以及等式取等号计算。
\[\frac{P(y=1|x)}{P(y=0|x)} = e^{\theta x}\] \[= \frac{P(y=1|x)}{1 - P(y=1|x)} = e^{\theta x}\] \[= \frac{1 - P(y=1|x)}{P(y=1|x)} = e^{-\theta x}\] \[= \frac{1}{P(y=1|x)} - 1 = e^{-\theta x}\] \[= \frac{1}{P(y=1|x)} = e^{-\theta x} + 1\] \[= P(y=1|x) = \frac{1}{e^{-\theta x} + 1}\]以下是实现的一些截图

优化我们采用梯度下降算法

交叉熵损失函数

最终效果



Mo (网址:momodel.cn )是一个支持 Python 的人工智能建模平台,能帮助你快速开发训练并部署 AI 应用。期待你的加入。
